Use the method of cylindrical shells to find the volume generated by rotating the region bounded by the given curves about the axis Sketch the region and aThe differential equation y' 2xy^2 = 0 has a oneparameter family of solutions given by y = 1/x^2 C For which value of C does one get a solution of the initial value problem y' 2xy^2 = 0, yThe quadratic formula gives two solutions, one when ± is addition and one when it is subtraction y^ {2}2xyx^ {2}=0 y 2 2 x y x 2 = 0 This equation is in standard form ax^ {2}bxc=0 Substitute 1 for a, 2x for b, and x^ {2} for c in the quadratic formula,
Assignment 1
(1-x^2)y''-xy'=0
(1-x^2)y''-xy'=0-Steps Using the Quadratic Formula = { x }^ { 2 } { y }^ { 2 } 2xy1=0 = x 2 y 2 − 2 x y − 1 = 0 All equations of the form ax^ {2}bxc=0 can be solved using the quadratic formula \frac {b±\sqrt {b^ {2}4ac}} {2a} The quadratic formula gives two solutions,Simple and best practice solution for X^22xyy^29=0 equation Check how easy it is, and learn it for the future Our solution is simple, and easy to understand, so don`t hesitate to use it as a solution of your homework



Polynomial Solution Of The Equation 1 X 2 Y 2xy 6y 0 Mathematics Stack Exchange
The differential equation of the system of circles touching the xaxis at origin is (A) (x^2 y^2)dy/dx 2xy = 0 asked in Differential equations by AmanYadav ( 556k points) differential equationsCompute answers using Wolfram's breakthrough technology & knowledgebase, relied on by millions of students & professionals For math, science, nutrition, history{eq}(1 x^2)y'' 2xy' 2y=0, {/eq} into a Maclaurin series to get a recurrence relation for the coefficients of the solution series By selecting appropriately the first two coefficients we'll
Answer to Find second solution to x^22xy"6y=0 given that y1=x^2 By signing up, you'll get thousands of stepbystep solutions to your homework I wasn't sure if I could, but I went ahead and integrated both sides with respect to x to get y ′ 2 y x 1 − x 2 = C 1 I then assumed C 1 = 0 to turn it into a separable differential equation because I don't know what to do with the above expression and , as expected, upon checking, this was the incorrect answer(a) 4xy′′ 2y′ y = 0;
`y' (1x^2)y' 2xy = 0` Solve the differential equation 1 Educator answer eNotescom will help you with any book or any question Our summaries and analyses are written by experts, and yourCompute answers using Wolfram's breakthrough technology & knowledgebase, relied on by millions of students & professionals For math, science, nutrition, history Ex 96, 14For each of the differential equations given in Exercises 13 to 15 , find a particular solution satisfy the given condition



Ex 9 6 14 Find Particular Solution 1 X2 Dy Dx 2xy



Ex 9 6 8 Find General Solution 1 X2 Dy 2xy Dx Ex 9 6
find a series solution about the point x=0 of (1x^2)y"2xy'2y=0The equation math\displaystyle{ (1x^2)y'' 2xy' 2y = 0 }\qquad(1)/math Since we have no obvious way to find any particular solution of (1) so we should try to find its general solution in the form of a power series as follows math\displCombine all terms containing x \left (y1\right)x^ {2}\left (y1\right)xy1=0 ( y − 1) x 2 ( − y − 1) x − y − 1 = 0 This equation is in standard form ax^ {2}bxc=0 Substitute y1 for a, y1 for b, and y1 for c in the quadratic formula, \frac {b±\sqrt {b^ {2}4ac}} {2a}



Find The General Solution Of 1 X 2 Y 2xy Chegg Com



Solve 1 X 2 Y 2xy 2y 0 Via Simple Chegg Com
`y' (1x^2)y' 2xy = 0` Solve the differential equation 1 Educator answer Math Latest answer posted at AM Free Online Scientific Notation Calculator Solve advanced problems in Physics, Mathematics and Engineering Math Expression Renderer, Plots, Unit Converter, Equation Solver, Complex Numbers, Calculation HistoryExperts are tested by Chegg as specialists in their subject area We review their content and use your feedback to keep the quality high 100% (1 rating)



Show That The General Solution Of The Differential Equation Dy Dx Y 2 Y 1 X 2 X 1 0 Is Given By X Y 1 A 1 X Y 2xy Where A Is Parameter Mathematics Shaalaa Com



Miscellaneous Problems Differential Equations
yn = sinnπx L is an associated eigenfunction For future reference, we state the result of Example 1111 as a theorem Theorem 1112 The eigenvalue problem y ″ λy = 0, y(0) = 0, y(L) = 0 has infinitely many positive eigenvalues λn = n2π2 / L2, with associated eigenfunctions yn = sinnπx L, n = 1, 2, 3,Get an answer for '`y' (1x^2)y' 2xy = 0` Solve the differential equation' and find homework help for other Math questions at eNotes If y = tan^–1x, then prove that (i) (1 x^2)y2 2xy1 = 0 asked in Limit, continuity and differentiability by SumanMandal ( 546k points) differentiation



1



The Solution Of 1 X 2 Dy Dx 2xy Xsqrt 1 X 2 0 Is A Y 1
A) y1 = 1 is a solution to homogeneous equation (1 x^2)y'' 2xy' = 0;Solve the differential equation (1x^2)y^'2x*y=0 SnapXamSimple and best practice solution for (3x^2y^2)dx(2xy)dy=0 equation Check how easy it is, and learn it for the future Our solution is simple, and easy to understand, so don`t hesitate to use it as a solution of your homework If it's not what You are looking for type in the equation solver your own equation and let us solve it



Solve The Following Differential Equation 1 X 2 Dy Dx 2xy 1 1 X 2 Given Y 0 When X 1 Sarthaks Econnect Largest Online Education Community



Www Wssd K12 Pa Us Downloads Exam prep a11 soln Pdf
(1 x2)y00 xy0 2y= 0 where is a constant, is called the Chebyshev quatione (a) Compute two linearly independent series solutions for jxjSimple and best practice solution for 2xy(xy)= equation Check how easy it is, and learn it for the future Our solution is simple, and easy to understand,Math 334 Assignment 6 — Solutions 3 4 Find a power series solution of the form P∞ n=0 anx n for the equation (1x2)y′′ 2xy′ −2y = 0 Can you express this



Faculty Math Illinois Edu G Choi1 285finalreviewsol 03 Pdf



2
Compute answers using Wolfram's breakthrough technology & knowledgebase, relied on by millions of students & professionals For math, science, nutrition, historyMy Patreon page https//wwwpatreoncom/PolarPiFull Power Series method for solving Diff Eqs Playlist https//wwwyoutubecom/watch?v=L93PLTrMGYI&list=PLsTOrder my "Ultimate Formulmznto/2SKuojN Hire me for private lessons https//wyzantcom/tutors/jjthetutorRead "The 7 Habits of Successful ST



The Differential Equation 1 X 2 Y 2xy V V Chegg Com



Power Series Solution To Y 2xy 0 Mathematics Stack Exchange
Steps for Completing the Square View solution steps Steps Using the Quadratic Formula (y1) { x }^ { 2 } 2xyy1=0 ( y − 1) x 2 − 2 x y y 1 = 0 All equations of the form ax^ {2}bxc=0 can be solved using the quadratic formula \frac {b±\sqrt {b^ {2}4ac}} {2a}T) of the BVP(b) 2xy′′ (3−x)y′ − y = 0 Solution (a) Write the differential equation in standard form y′′ − 1 2x y′ 1 4x y = 0 We have P(x) = − 1 2x and Q(x) = 1 4x, so x = 0 is a singular point Taking limits we get lim x→0 xP(x) = −1/2 and lim x→0 x2Q(x) = 0 Therefore x



Solved Solve By Cauchy Method X 2 Y 2xy 2y Xlnx If Y 1 1 And Y 1 0 Course Hero



Show That The Equation 5x4 3x2y2 2xy3 Dx 2x3y 3xy2 5y4 Dy 0 Is An Exact Differential Equation Find Its Solution Mathematics 2 Question Answer Collection
Simple and best practice solution for (2xy)dy(x^2y^21)dx=0 equation Check how easy it is, and learn it for the future Our solution is simple, and easy to understand, so don`t hesitate to use it as a solution of your homeworkPower Series Solution of Differential Equation (x^2 1)y'' 2xy' = 0Find a second solution y^2 by reduction of order method b) Find Green's function G (x;



1a Engineering Mathematics Ppt Download



Differential Equations
This answer uses an approach involving an integrating factor rather than separation of variables mathy'2xy=0 /math Note that the integrating factor, math\mu/math, takes on the form of e raised to the integral of the coefficient in frontAdd 'y' to each side of the equation x 1y y = 0 y Combine like terms 1y y = 0 x 0 = 0 y x = 0 y Remove the zero x = y Simplifying x = y Subproblem 2 Set the factor '(x 1y)' equal to zero and attempt to solve Simplifying x 1y = 0 Solving x 1y = 0 Move all terms containing x to the left, all other terms to the rightPopular Problems Calculus Find dy/dx 2xyy^2=1 2xy − y2 = 1 2 x y y 2 = 1 Differentiate both sides of the equation d dx (2xy−y2) = d dx (1) d d x ( 2 x y y 2) = d d x ( 1) Differentiate the left side of the equation Tap for more steps By the Sum Rule, the derivative of 2 x y − y 2 2 x y y 2 with respect to x x is d d x 2



2xy 2x 2y Search For A Good Cause



Www3 Nd Edu Apilking Math Work Old exams Exam2f07solutions Pdf
X3yx2y2xy=0 Four solutions were found x = 2 x = 1 y = 0 x = 0 Step by step solution Step 1 Step 2 Pulling out like terms 21 Pull out like factors x3y x2y Consider x^ {2}2xy3y^ {2} as a polynomial over variable x Find one factor of the form x^ {k}m, where x^ {k} divides the monomial with the highest power x^ {2} and mTrigonometry Graph x^2y^22x2y1=0 x2 − y2 − 2x − 2y − 1 = 0 x 2 y 2 2 x 2 y 1 = 0 Find the standard form of the hyperbola Tap for more steps Add 1 1 to both sides of the equation x 2 − y 2 − 2 x − 2 y = 1 x 2 y 2 2 x 2 y = 1 Complete the square for x 2 − 2 x x 2X 2 ( − 2 y − 8) x y 2 − 8 y = 0 This equation is in standard form ax^ {2}bxc=0 Substitute 1 for a, 2y8 for b, and y\left (8y\right) for c in the quadratic formula, \frac {b±\sqrt {b^ {2}4ac}} {2a} This equation is in standard form a x 2 b x c = 0



Misc 7 Show That General Solution Is X Y 1 A 1 X Y 2xy



3x 2y 2xy 1 X 2 Y 7 6 Brainly In
This almost looks like an EulerCauchy equation math\qquad\qquad x^2 y'' 2xy' 2y = 0/math So if we can find a solution to the equation above that is also a solution to math\qquad\qquad y'' = 0/math then this solution will also be a sAnswer to Solve the differential equation (1x^2) y'' 2xy'= 0 given that one of the solutions is y_1(x) = 1 By signing up, you'll get for Teachers for Schools for Working Scholars® forSee the answer See the answer done loading (1x^2)y''2xy'2y=0 Find the power series solution in powers of x show the details Expert Answer Who are the experts?



Secure Media Collegeboard Org Digitalservices Pdf Ap Ap16 Calculus Q4 Pdf



The Solution Of Dy Dx X 2 Y 2 1 2xy Satisfying Y 1 0 Is
Solution for Find the general solution of the differential equation (1 x2)y′ − 2xy = 0 #y_O =x sum_1^oo (1)^(k) (3* 7 * * (4 k 1))/((2k1)!) x^((2 k1)) # Recognising the linearity #y = c_1\ y_O c_2 \ y_E# So you have to add all that up Finally, a screen grab from Socratic that always puts me of answering qu's like this in proper fashion I'd recommend this



Privado Results



Matematikcimehmetyavuz Files Wordpress Com 15 04 M V Makarets V Yu Reshetnyak Ordinary Diffe Pdf



Ode Xy Y 2xy 0 Method Of Frobenius Series Solution About A Regular Singular Point Youtube



Solve The Following Differential Equation X2 Y2 Dx 2xy Dy 0 Given That Y 1 When X 1 Or Solve The Following Differential Equation If Y 1 When X 1 Mathematics Topperlearning Com 237hoo



Www Tau Ac Il Levant Ode Solution 6 Pdf



2



For The Differential Equation X 2 Y 2 Dx 2xy Dy 0 Which Of The



Answered 7 Y 9 Xy Y Vx 11 Xy 2y X X 0 Bartleby



Equation Ofthe Parabola With See How To Solve It At Qanda



Http Www Fen Bilkent Edu Tr Mugan Courses Math240 Homework set 1 Spring 07 08 Pdf



Http Faculty Washington Edu Arahman2 Ode F16 Exam3review Pdf



Solve The Differential Equation 1 X Y 2xy 6y 0 By Using The Series Solution Method Homeworklib



Assignment 1



Power Series



Use The Method Of Undetermined Coefficients To Solve 1 X2 Y 2xy 6y 0 Stumbling Robot



Differential Equations Variation Of Parameters X 2y 2xy 2y X Ln X Youtube



2



4 Y 3y 5y Y U The Differential Equation Of Family Of Curves R Y2 2ay 0 Where A Is Arbitrary Constant Is 1 X Y Y 2xy 2 2 X Y Y



If Y Tan 1x Show That 1 X2 Y 2xy 0 Maths Inverse Trigonometric Functions Meritnation Com



Use The Reduction Of Order Method To Solve The Following Problem Given One Of The Solution Y1 A X 2 1 Y 39 39 2xy 39 2y 0 Y1 X B 2x 1 Y 39 39 4 X 1 Y 39 4y 0 Y1 E 2x C X



Differential Equations Solved Examples Show That Following Differential Equation Is Not Exact 3x 2y 4 2xy Dx 2x 3y 3 X 2 Dy 0 Then Find An Integrating Factor To Solve The Differential Equation



Ma 17 3 Complex Analysis Rates



Http Www Math Miami Edu Dscheib Teaching Fall11 Map2302 Files Map2302 Quizzes Exams Files Exam4 Answers Pdf



Ex 9 5 15 Class 12 Find Solution 2xy Y 2 2x 2 Dy Dx 0 When



Find A Power Series Solution For The Following Differential Equations Y 2xy 0 Homework Help And Answers Slader



4 A Solve The Differential Equation 1 X 2 Y 2xy L L 1 Y 0 Using Power Series Centered At 0 In Which Homeworklib



Use The Method Of Undetermined Coefficients To Solve 1 X2 Y 2xy 12y 0 Stumbling Robot



Exact Non Differential Equation



Iit 04 Find Y 0 If Y Is A Function Of X And Ln X Y 2xy 0 Youtube



A Show That The Given Differential Equation Has A Regular Singular Point At X 0 B Determine The Indicial Equation The Recurrence Relation And The Roots Of The Indicial Equation C Find The Series Solution X 0 Corresponding



Solved Let Y Dy Dx The Derivative On X 1 X 2 Y 2xy F X Where F X Is A Piece Wise Defined Function By F X X If X 0 1 And F X



Hw 4



2



Use The Method Of Undetermined Coefficients To Solve 1 X2 Y 2xy 6y 0 Stumbling Robot



4 4 Legendre Functions Legendre Polynomials The Differential Equation 1 X 1 Around X Ppt Download



Second Solution For Reduction Of Order X 2 1 Y 2xy 2y X 2 1 Youtube



How To Solve This Differential Equation Math 1 X 2 Y 6xy 4y 0 R T Math Quora



Prove That If X Y Z 0 Then Xy Yz Zx 0



Polynomial Solution Of The Equation 1 X 2 Y 2xy 6y 0 Mathematics Stack Exchange



Www Utdallas Edu Efrom Solhw Pdf



Secure Media Collegeboard Org Digitalservices Pdf Ap Ap16 Calculus Q4 Pdf



X 2 Y 2 Dx 2xy Dy 0



Are Satisfied Except When X2y See How To Solve It At Qanda



Find The Solution To X2 1 Y 2xy 2x Y 0 0 Y X Chegg Com



2



1



Solution Of Y Xy 1 Dx X 1 Xy X 2y 2 Dy 0 Mathematics Stack Exchange



Given 1 X 2 Y 2xy 12y 0 Find A All Chegg Com



Answered Reduce To First Order And Solve 1 Bartleby



2



Chebyshevs Differential Equation Math Assignment Docsity



Math 6c Chapter 12 Quiz



2



3 2 Problems Find General Solutions In Powers Of X Of The Diferential Equa Tions In Problems 1 T Homeworklib



Find A Series Solution About The Point X 0 Of 1 X 2 Y 2xy 2y 0 Youtube



Prove That U X 2 Y 2 2xy 2x 3y Is Harmonic And Find Harmonic Conjugate V Edurev Iit Jam Question



Show That The General Solution Of The Differential Equation Dy Dx Y 2 Y 1 X 2 X 1 0 Is Given By X Y 1 A 1 X Y 2xy Where A Is Parameter Mathematics Shaalaa Com



Solved Solve The Following Differential Equations X Y 3 Dx X Y 1 Dy 0 2 X Y 1 Dx 3x 4y 2 Dy C 3 1 Y 2 Xy 2 Dx X 2y Y 2xy Dy Course Hero



Givenof Solve The Equation 1 X 2 Y 2xy 2y 0 Giventhat Y X Is A Solution Brainly In



Answered Reduce To First Order And Solve 1 Bartleby



Consider The Equation 1 X 2 Y 2xy 12y 0 Chegg Com



Hyers Ulam Stability Of Differential Equation Y 2xy 2ny 0 Topic Of Research Paper In Mathematics Download Scholarly Article Pdf And Read For Free On Cyberleninka Open Science Hub



Http Www Math Miami Edu Dscheib Teaching Fall11 Map2302 Files Map2302 Suggested Homework Problems Files Section 3 1 hw Pdf



The Solution Of Y X Y 1 D X X Left 1 X Y



1 X 2 Y 2xy 0 Reshit Differencialnoe Uravnenie



Find A Power Series Solution In Powers Of X Show The Details 1 X Y 2xy 2y 0 Homework Help And Answers Slader



Use The Method Of Undetermined Coefficients To Solve 1 X2 Y 2xy 6y 0 Stumbling Robot



Www Jstor Org Stable



Solve 1 X 2 Dy Dx 2xy 4x 2 0 Subject To The Initial Condition Y 0 0 Sarthaks Econnect Largest Online Education Community



What Is The Solution Of The Differential Equation Math Y 2xy 0 Math Quora



Power Series



How To Find The Solution For Math Y 2xy 2 Mathrm D X X 2x 2y Mathrm D Y 0 Math Quora



Answered Problems 9 Given That X X2 And 1 X Bartleby



Mathfunc



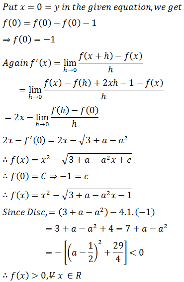
Let F X Y F X F Y 2xy 1 For All X Y R If F X Is Differentiable And F 0 3 A A 2 Then



What Is The Solution To The Differential Equation Math 1 X 2 Y 2xy 2y 0 Math Quora



1 X2y 2xy 2y 0 Gauthmath



Math 432 Hw 2 5 Solutions Pdf Free Download



Consider The Following Equation X 2 1 Y 2xy Chegg Com


0 件のコメント:
コメントを投稿